Не всегда управляющие компании (или ТСЖ) работают качественно. Они могут либо в принципе отказываться проводить ремонт (уборку, дератизацию, вывоз мусора и т. д.), либо делать это из рук вон плохо, либо – слишком редко. Во всех случаях, когда услуга предоставляется жителям несвоевременно и ненадлежащего качества, УК или ТСЖ должны снизить размер платы за содержание и ремонт.
Такая же ситуация может возникнуть и при непосредственном управлении домом – и здесь тоже действует аналогичная схема: ответственные за услугу лица снижают ее стоимость.
Как делается перерасчет платы
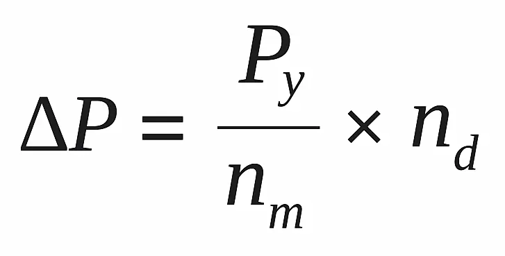
Согласно «Правил изменения размера платы за содержание жилого помещения в случае оказания услуг и выполнения работ по управлению, содержанию и ремонту общего имущества в многоквартирном доме ненадлежащего качества и (или) с перерывами, превышающими установленную продолжительность», утв. Постановлением Правительства РФ от 13.08.2006 № 410, при перерасчете учитывается каждый календарный день просрочки. Для этого используется специальная формула:

где:
- ∆P – размер уменьшения платы за содержание и ремонт жилого помещения (рублей);
- Py – стоимость услуги или работы в составе ежемесячной платы за содержание и ремонт жилого помещения (рублей);
- nm – количество календарных дней в месяце;
- nd – количество полных календарных дней, в течение которых оказывались и (или) выполнялись услуги или работы ненадлежащего качества и (или) с перерывами, превышающими установленную продолжительность.
Единственный случай, при котором плата не снижается (даже если услугу вам оказали не вовремя) – если это было связано с устранением угрозы жизни и здоровью граждан, если при этом сотрудникам УК или ТСЖ приходилось спасать имущество жителей от возможного ущерба, или же если возникли обстоятельства непреодолимой силы – к примеру, наводнение, смерч и т. д.

